Zum Hauptinhalt
Website-Übersicht
Startseite
Kalender
Neuen Kursraum beantragen
Hochschulen
BU Weimar
DHGE
EAH Jena
FH Erfurt
HfM Weimar
HS Nordhausen
HS Schmalkalden
TU Ilmenau
Uni Erfurt
Uni Jena
Projekte
eTeach-Netzwerk
FabLab
FIT
Ilmkubator
InSignA
INSPIRE
ProTELC
StarTH
THInKI
ThüLeNa
Mehr
Systemweite Suche
Suchen
Schließen
Suche durchführen
Sucheingabe umschalten
Deutsch (de)
Deutsch (de)
English (en)
Sie sind als Gast angemeldet
Login
Startseite
Kalender
Neuen Kursraum beantragen
Hochschulen
Einklappen
Ausklappen
BU Weimar
DHGE
EAH Jena
FH Erfurt
HfM Weimar
HS Nordhausen
HS Schmalkalden
TU Ilmenau
Uni Erfurt
Uni Jena
Projekte
Einklappen
Ausklappen
eTeach-Netzwerk
FabLab
FIT
Ilmkubator
InSignA
INSPIRE
ProTELC
StarTH
THInKI
ThüLeNa
Alles aufklappen
Alles einklappen
Kursindex öffnen
Vorkurs_Mathe
Integralrechnung
Auf einen Blick: Integralrechnung
Auf einen Blick: Integralrechnung
Abschlussbedingungen
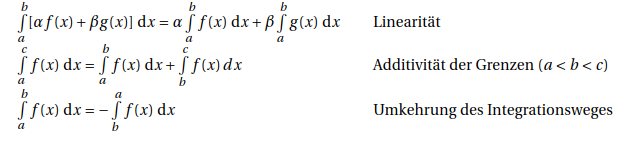
Eigenschaften bestimmter Integrale
Integrationsmethoden
Integrale elementarer Grundfunktionen
Zu jeder Stammfunktion kann eine Konstante
addiert werden.
Zuletzt geändert: Mittwoch, 12. Juli 2023, 19:25
Datenschutz
|
Impressum